8.化简计算:1一= , = . = , = . 查看更多

 

题目列表(包括答案和解析)

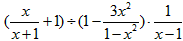
(1)计算:
(2)先化简,再选择一个合适的x值代入求值:

查看答案和解析>>

(1)计算:(-1)2008+-
(2)先将化简,然后请你选一个自己喜欢的x值,求原式的值。

查看答案和解析>>

学校计划在一块长16m,宽12m的长方形荒地上修建一个花园,请了我班两名数学爱好者进行了设计(图中阴影部分即为花园)
甲说:我的设计方案如图(1),其中花园四周小路的宽度相等都为a米.
乙说:我的设计方案如图(2),其中花园每个角上的扇形相同,半径为b米.
(1)分别用代数式表示出甲、乙二同学所设计的花园的面积。(可不化简);
(2) 如果学校要求花园所占面积约为荒地面积的一半,π取3.14 甲说:a=12可满足要求;乙说:b≈5.5可满足要求. 那么二人的说法对吗?请通过计算说明理由.

查看答案和解析>>

观察下列各式,通过分母有理数,把不是最简二次根式的化成最简二次根式:
==-1;
==-
同理可得:=,…
从计算结果中找出规律,并利用这一规律计算:
+++…+)(+1)的值。

查看答案和解析>>

逆用幂的运算性质,可以简化一些关于数的运算问题。
即可以使用以下各式:am+n=am·an,anbn=(ab)n,amn=(amn=(anm
例如:
请你用简便方法计算下列各式:
(1)(-9)3×
(2)

查看答案和解析>>


同步练习册答案