解方程+=7时.利用换元法将原方程化为6y2-7y+2=0.则应设y= . 查看更多

 

题目列表(包括答案和解析)

解方程时,利用换元法将原方程化为6y2-7y+2=0,则应设y=   

查看答案和解析>>

解方程时,利用换元法将原方程化为6y2-7y+2=0,则应设y=   

查看答案和解析>>

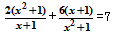
解方程数学公式时,利用换元法将原方程化为6y2-7y+2=0,则应设y=________.

查看答案和解析>>

解方程时,利用换元法将原方程化为6y2-7y+2=0,则应设y=(      )。

查看答案和解析>>

(2005•包头)解方程时,利用换元法将原方程化为6y2-7y+2=0,则应设y=   

查看答案和解析>>


同步练习册答案