关于的方程 无解.则a为 . 查看更多

 

题目列表(包括答案和解析)

若关于的方程无解,则的值为___________.

 

查看答案和解析>>

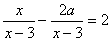
关于x的方程数学公式无解,则a为 ________.

查看答案和解析>>

关于x的方程数学公式无解,则a为________.

查看答案和解析>>

关于x的方程无解,则a为(     ).

查看答案和解析>>

若关于x的方程无解,则m的值为    

查看答案和解析>>


同步练习册答案