17.先化简.再选择你喜欢的一个x的值代入求值. 查看更多

 

题目列表(包括答案和解析)

先化简,再选择你喜欢的一个数字,代入求值:
x3
x-3
-
9x
x-3

查看答案和解析>>

先化简,再选择你喜欢的一个数字,代入求值:数学公式

查看答案和解析>>

先化简,再选择你喜欢的一个x的值代入求值.

查看答案和解析>>

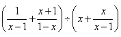
先化简,再选择你喜欢的又使原式有意义的一个x的值代入求值.(
1
x-1
+
x+1
1-x
)÷(x+
x
x-1
)

查看答案和解析>>

先化简,再选择你喜欢的又使原式有意义的一个x的值代入求值.

数学公式

查看答案和解析>>


同步练习册答案