已知:..其中.则A与B 的关系是( ) A. 互为倒数 B. 相等 C. 互为相反数 D. A大于B 查看更多

 

题目列表(包括答案和解析)

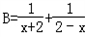
已知两个分式:,其中x≠±2,则A与B的关系是( )
A.相等
B.互为倒数
C.互为相反数
D.A大于B

查看答案和解析>>

已知两个分式:,其中x≠±2,则A与B的关系是( )
A.相等
B.互为倒数
C.互为相反数
D.A大于B

查看答案和解析>>

已知两个分式:数学公式数学公式,其中x≠±2,则A与B的关系是


  1. A.
    相等
  2. B.
    互为倒数
  3. C.
    互为相反数
  4. D.
    A大于B

查看答案和解析>>

已知两个分式:,其中x≠±2,则A与B的关系是(  )
A.相等
B.互为倒数
C.互为相反数
D.A大于B

查看答案和解析>>

已知两个分式:,其中x≠±2,则A与B 的关系是  

[     ]

A.相等     
B.互为倒数    
C.互为相反数    
D.A大于B

查看答案和解析>>


同步练习册答案