17.在数列{an}中.若..则此数列的通项公式为 . 查看更多

 

题目列表(包括答案和解析)

已知等差数列{bn}的前n项和为Tn,且T4=4,b5=6.
(1)求数列{bn}的通项公式;
(2)若正整数n1,n2,…,nt,…满足5<n1<n2<…<nt,…且b3,b5bn1bn2,…,bnt,…成等比数列,求数列{nt}的通项公式(t是正整数);
(3)给出命题:在公比不等于1的等比数列{an}中,前n项和为Sn,若am,am+2,am+1成等差数列,则Sm,Sm+2,Sm+1也成等差数列.试判断此命题的真假,并证明你的结论.

查看答案和解析>>

已知等差数列{bn}的前n项和为Tn,且T4=4,b5=6.
(1)求数列{bn}的通项公式;
(2)若正整数n1,n2,…,nt,…满足5<n1<n2<…<nt,…且b3,b5,…,,…成等比数列,求数列{nt}的通项公式(t是正整数);
(3)给出命题:在公比不等于1的等比数列{an}中,前n项和为Sn,若am,am+2,am+1成等差数列,则Sm,Sm+2,Sm+1也成等差数列.试判断此命题的真假,并证明你的结论.

查看答案和解析>>

在数列{an}中,如果对任意的n∈N*,都有
an+2
an+1
-
an+1
an
(λ为常数),则称数列{an}为比等差数列,λ称为比公差.现给出以下命题,其中所有真命题的序号是
①④
①④

①若数列{Fn}满足F1=1,F2=1,Fn=Fn-1+Fn-2(n≥3),则该数列不是比等差数列;
②若数列{an}满足an=(n-1)•2n-1,则数列{an}是比等差数列,且比公差λ=2;
③等差数列是常数列是成为比等差数列的充分必要条件;
(文)④数列{an}满足:an+1=an2+2an,a1=2,则此数列的通项为an=32n-1-1,且{an}不是比等差数列;
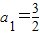
(理)④数列{an}满足:a1=
3
2
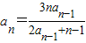
,且an=
3nan-1
2an-1+n-1
(n≥2,n∈N*)
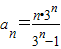
,则此数列的通项为an=
n•3n
3n-1
,且{an}不是比等差数列.

查看答案和解析>>

在数列{an}中,如果对任意的n∈N*,都有(λ为常数),则称数列{an}为比等差数列,λ称为比公差.则下列命题中真命题的序号是   
①若数列{Fn}满足F1=1,F2=1,Fn=Fn-1+Fn-2(n≥3),则该数列不是比等差数列;
②若数列{an}满足,则数列{an}是比等差数列,且比公差λ=2;
③“等差数列是常数列”是“等差数列成为比等差数列”的充分必要条件;
④数列{an}满足:,且(n≥2,n∈N),则此数列的通项为,且{an}不是比等差数列.

查看答案和解析>>

在数列{an}中,如果对任意的n∈N*,都有(λ为常数),则称数列{an}为比等差数列,λ称为比公差.则下列命题中真命题的序号是   
①若数列{Fn}满足F1=1,F2=1,Fn=Fn-1+Fn-2(n≥3),则该数列不是比等差数列;
②若数列{an}满足,则数列{an}是比等差数列,且比公差λ=2;
③“等差数列是常数列”是“等差数列成为比等差数列”的充分必要条件;
④数列{an}满足:,且(n≥2,n∈N),则此数列的通项为,且{an}不是比等差数列.

查看答案和解析>>


同步练习册答案