设则在同一坐标系中函数的图像是( ) 查看更多

 

题目列表(包括答案和解析)

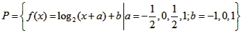
设函数的集合
平面上点的集合,则在同一直角坐标系中,P中的函数f(x)的图像经过Q中至少一个点的函数的个数是
[     ]
A.6
B.10
C.11
D.12

查看答案和解析>>

给出下列四个命题:
①函数y=|x|与函数表示同一个函数;
②奇函数的图像一定通过直角坐标系的原点;
③函数y=3(x-1)2的图像可由y=3x2的图像向右平移1个单位得到;
④若函数f(x)的定义域为[0,2],则函数f(2x)的定义域为[0,4];
⑤设函数f(x)是在区间[a,b]上图像连续的函数,且f(a)·f(b)<0,则方程f(x)=0在区间[a,b]上至少有一实根;
其中正确命题的序号是(    )。(填上所有正确命题的序号)

查看答案和解析>>

给出下列四个命题:
①函数y=|x|与函数y=(2表示同一个函数;
②奇函数的图像一定通过直角坐标系的原点;
③函数y=3(x-1)2的图像可由y=3x2的图像向右平移1个单位得到;
④若函数f(x)的定义域为[0,2],则函数f(2x)的定义域为[0,4];
⑤设函数f(x)是在区间[a,b]上图像连续的函数,且f(a)·f(b)<0,则方程f(x)=0在区间[a,b]上至少有一实根;
其中正确命题的序号是(    )(填上所有正确命题的序号)。

查看答案和解析>>

给出下列四个命题:

①函数y=|x|与函数y=()2表示同一个函数;

②奇函数的图像一定通过直角坐标系的原点;

③函数y=3(x-1)2的图像可由y=3x2的图像向右平移1个单位得到;

④若函数f(x)的定义域为[0,2],则函数f(2x)的定义域为[0,4];

⑤设函数f(x)是在区间[a,b]上图像连续的函数,且f(a)·f(b)<0,则方程f(x)=0在区间[a,b]上至少有一实根.

其中正确命题的序号是________.(填上所有正确命题的序号)

查看答案和解析>>

给出下列四个命题:

①函数与函数表示同一个函数;

②奇函数的图象一定通过直角坐标系的原点;

③函数的图像可由的图像向上平移1个单位得到;

④若函数的定义域为,则函数的定义域为

⑤设函数是在区间上图象连续的函数,且,则方程在区间上至少有一实根;

其中正确命题的序号是             .(填上所有正确命题的序号)

 

查看答案和解析>>


同步练习册答案