20.已知函数为奇函数. (1)求的值, (2)判断函数的单调性.并证明. 查看更多

 

题目列表(包括答案和解析)

已知函数为奇函数.
(1)求a和b的值;
(2)当f(x)定义域不是R时,判断函数f(x)在(0,+∞)内的单调性,并给出证明;
(3)当f(x)定义域为R时,求函数f(x)的值域.

查看答案和解析>>

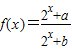
已知函数数学公式为奇函数.
(1)求a和b的值;
(2)当f(x)定义域不是R时,判断函数f(x)在(0,+∞)内的单调性,并给出证明;
(3)当f(x)定义域为R时,求函数f(x)的值域.

查看答案和解析>>

已知函数是奇函数,定义域为区间D(使表达式有意义的实数x 的集合).

(1)求实数m的值,并写出区间D;

(2)若底数a>1,试判断函数y=f(x)在定义域D内的单调性,并说明理由;

(3)当x∈A=[a,b)(A⊆D,a是底数)时,函数值组成的集合为[1,+∞),求实数a、b的值.

查看答案和解析>>

已知函数是奇函数,定义域为区间D(使表达式有意义的实数x 的集合).
(1)求实数m的值,并写出区间D;
(2)若底数a>1,试判断函数y=f(x)在定义域D内的单调性,并说明理由;
(3)当x∈A=[a,b)(A⊆D,a是底数)时,函数值组成的集合为[1,+∞),求实数a、b的值.

查看答案和解析>>

已知函数数学公式是奇函数,定义域为区间D(使表达式有意义的实数x 的集合).
(1)求实数m的值,并写出区间D;
(2)若底数a>1,试判断函数y=f(x)在定义域D内的单调性,并说明理由;
(3)当x∈A=[a,b)(A⊆D,a是底数)时,函数值组成的集合为[1,+∞),求实数a、b的值.

查看答案和解析>>


同步练习册答案