数学英语物理化学 生物地理
数学英语已回答习题未回答习题题目汇总试卷汇总练习册解析答案
题目列表(包括答案和解析)
查看答案和解析>>
在△ABC中,,求。
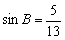
⑴在△ABC中, ,求。
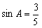
⑵在△ABC中,设求的值。
在△ABC中,,cosC是方程的一个根,
求(1)角C的度数 (2)△ABC周长的最小值。
国际学校优选 - 练习册列表 - 试题列表
湖北省互联网违法和不良信息举报平台 | 网上有害信息举报专区 | 电信诈骗举报专区 | 涉历史虚无主义有害信息举报专区 | 涉企侵权举报专区