11.已知数列满足:.则等于 A. B. C. D. 查看更多

 

题目列表(包括答案和解析)

已知数列满足:,用表示不超过的最大整数,则的值等于(   )

A.0                B.1                C.2                D.3

 

查看答案和解析>>

已知数列满足:,用表示不超过的最大整数,则的值等于(   )

A.0 B.1 C.2 D.3

查看答案和解析>>

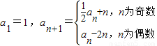
已知数列{an}满足:a1=1,an+1=,则a2006等于(    )

A.1                 B.              C.-2                 D.2

查看答案和解析>>

已知数列{an}满足:,且bn=a2n-2,n∈N*,则b3等于( )
A.
B.
C.4
D.6

查看答案和解析>>

已知数列{an}满足:,且bn=a2n-2,n∈N*,则b3等于( )
A.
B.
C.4
D.6

查看答案和解析>>


同步练习册答案