18.一机器可以按各种不同的速度运转.其生产物件有一些会有缺点.每小时生产有缺点物件的多少随机器运转速度而变化.用x表示转速.用y表示每小时生产的有缺点物件个数.现观测得到的4组观测值为.. (1)假定y与x之间有线性相关关系.求y对x的回归直线方程, (2)若实际生产中所容许的每小时最大有缺点物件数为10.则机器的速度不得超过多少转/秒. 查看更多

 

题目列表(包括答案和解析)

一机器可以按各种不同的速度运转,其产生物体有一些会有缺点,每小时生产缺点物体的多少随机器运转速度而变化,用x表示转速(单位:r/s),用y表示每小时生产的有缺点物体个数,现观测得到(x,y)的4组观测值为(8,5),(12,8),(14,9),(16,11).

(1)假定y与x之间有线性相关关系,求y与x之间的回归直线方程.

(2)若实际生产中所容许的每小时最大有缺点物件数为10,则机器的速度不得超过多少r/s?(精确到1)

查看答案和解析>>

一机器可以按各种不同的速度运转,其生产物件有一些会有缺点,每小时生产有缺点物件的多少随机器运转速度而变化,用x表示转速(单位:转/秒),用y表示每小时生产的有缺点物件个数,现观测得到的4组观测值为(8,5),(12,8),(14,9),(16,11).

(1)假定yx之间有线性相关关系,求yx的回归直线方程;

(2)若实际生产中所容许的每小时最大有缺点物件数为10,则机器的速度不得超过多少转/秒.(精确到1转/秒)

查看答案和解析>>

一机器可以按各种不同的速度运转,其生产物件有一些会有缺点,每小时生产有缺点物件的多少随机器运转速度而变化,用表示转速(单位转/秒),用表示每小时生产的有缺点物件个数,现观测得到的4组观测值为(8,5),(12,8),(14,9),(16,11).
(1)假定之间有线性相关关系,求的回归直线方程.
(2)若实际生产中所容许的每小时最大有缺点物件数为10,则机器的速度不得超过多少转/秒?(精确到1转/秒)
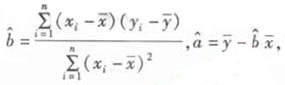
(参考公式)

查看答案和解析>>

一机器可以按各种不同的速度运转,其生产物件有一些会有缺点,每小时生产有缺点物件的多少随机器运转速度而变化,用表示转速(单位转/秒),用表示每小时生产的有缺点物件个数,现观测得到的4组观测值为(8,5),(12,8),(14,9),(16,11).
(1)假定之间有线性相关关系,求的回归直线方程.
(2)若实际生产中所容许的每小时最大有缺点物件数为10,则机器的速度不得超过多少转/秒?(精确到1转/秒)
(参考公式)

查看答案和解析>>

一机器可以按各种不同的速度运转,其生产物件有一些会有缺点,每小时生产有缺点物件的多少随机器运转速度而变化,用x表示转速(单位:转/秒),用y表示每小时生产的有缺点物件个数,现观测得到的4组观测值为(8,5),(12,8),(14,9),(16,11).

(1)假定yx之间有线性相关关系,求yx的回归直线方程;

(2)若实际生产中所容许的每小时最大有缺点物件数为10,则机器的速度不得超过多少

转/秒.(精确到1转/秒)(线性回归方程中系数计算公式

其中表示样本均值。)

查看答案和解析>>


同步练习册答案