-lg25-2lg2 , 查看更多

 

题目列表(包括答案和解析)

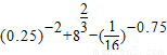
计算:
(    );
lg25+2lg2=(    )。

查看答案和解析>>

计算下列各题:
(1)-lg25-2lg2;
(2)

查看答案和解析>>

计算下列各题:
(1)-lg25-2lg2;
(2)

查看答案和解析>>

计算:(1)1.10+
3216
-0.5-2+lg25+2lg2

(2)log3
427
3
+lg25+lg4+7log72

查看答案和解析>>

计算:(1)1.10+
3216
-0.5-2+lg25+2lg2

(2)log3
427
3
+lg25+lg4+7log72

查看答案和解析>>


同步练习册答案