已知函数.试讨论函数f(x)的单调性 高一年级数学导学提纲 指数函数(二) 执笔人:陈习林 审核人:纪尧兵 教学目标: 查看更多

 

题目列表(包括答案和解析)

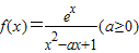
已知函数

(Ⅰ)试讨论函数f(x)的单调区间;

(Ⅱ)若,不等式f(x)≥kx对于任意的x∈R恒成立,求k的取值范围.

查看答案和解析>>

已知函数数学公式
(Ⅰ)试讨论函数f(x)的单调区间;
(Ⅱ)若数学公式,不等式f(x)≥kx对于任意的x∈R恒成立,求k的取值范围.

查看答案和解析>>

已知函数数学公式
(1)试讨论函数f(x)的单调区间;
(2)若不等式f(x)≥x对于任意的x∈[0,a+1]恒成立,求a的取值范围.

查看答案和解析>>

已知函数
(Ⅰ)试讨论函数f(x)的单调区间;
(Ⅱ)若,不等式f(x)≥kx对于任意的x∈R恒成立,求k的取值范围.

查看答案和解析>>

已知函数
(1)试讨论函数f(x)的单调区间;
(2)若不等式f(x)≥x对于任意的x∈[0,a+1]恒成立,求a的取值范围.

查看答案和解析>>


同步练习册答案