(一)指数与指数幂的运算 1.根式的概念:一般地.如果.那么叫做的次方根.其中>1.且∈*. u 负数没有偶次方根,0的任何次方根都是0.记作. 当是奇数时..当是偶数时. 2.分数指数幂 正数的分数指数幂的意义.规定: . u 0的正分数指数幂等于0.0的负分数指数幂没有意义 3.实数指数幂的运算性质 (1)· , (2) , (3) . 查看更多

 

题目列表(包括答案和解析)

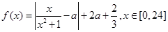
湖南省环保研究所对长沙市中心每天环境放射性污染情况进行调查研究后,发现一天中环境综合放射性污染指数与时刻x的关系为,其中a是与气象有关的参数,且,若用每天的最大值作为当天的综合放射性污染指数,并记作.

(Ⅰ)令,求t的取值范围;

(Ⅱ)省政府规定,每天的综合放射性污染指数不得超过2,试问目前市中心的综合放射性污染指数是否超标?

 

查看答案和解析>>

某省环保研究所对市中心每天环境放射性污染情况进行调查研究后,发现一天中环境综合放射性污染指数与时刻(时) 的关系为,其中是与气象有关的参数,且

(1)令, ,写出该函数的单调区间,并选择其中一种情形进行证明;

(2)若用每天的最大值作为当天的综合放射性污染指数,并记作,求

(3)省政府规定,每天的综合放射性污染指数不得超过2,试问目前市中心的综合放射性污染指数是否超标?

【解析】第一问利用定义法求证单调性,并判定结论。

第二问(2)由函数的单调性知

,即t的取值范围是. 

时,记

 

上单调递减,在上单调递增,

第三问因为当且仅当时,.

故当时不超标,当时超标.

 

查看答案和解析>>

据环保部门测定,某处的污染指数与附近污染源的强度成正比,与到污染源距离的平方成反比,比例常数为k(k>0).现已知相距18km的A,B两家化工厂(污染源)的污染强度分别为a,b,它们连线上任意一点C处的污染指数y等于两化工厂对该处的污染指数之和.设AC=x(km).
(1)试将y表示为x的函数;
(2)若a=1,且x=6时,y取得最小值,试求b的值.

查看答案和解析>>

(2012•济南二模)长沙市“两会”召开前,某政协委员针对自己提出的“环保提案”对某处的环境状况进行了实地调研.据测定,该处的污染指数与附近污染源的强度成正比,与到污染源的距离成反比,比例常数为k(k>0).现已知相距36km的A,B两家化工厂(污染源)的污染强度分别为正数a,b,它们连线上任意一点C处的污染指数y等于两化工厂对该处的污染指数之和.设AC=x(km).
(Ⅰ)试将y表示为x的函数;
(Ⅱ)若a=1时,y在x=6处取得最小值,试求b的值.

查看答案和解析>>

(本小题满分12分)南昌市在加大城市化进程中,环境污染问题也日益突出。据环保局测定,某处的污染指数与附近污染源的强度成正比,与到污染源距离的平方成反比.现已知相距18的A,B两家工厂(视作污染源)的污染强度分别为,它们连线上任意一点C处的污染指数等于两家工厂对该处的污染指数之和.设).

(1) 试将表示为的函数;

(2) 若,且时,取得最小值,试求的值.

 

查看答案和解析>>


同步练习册答案