6.函数在区间和上都是增函数.若..且.那么( ) A. B. C. D.无法确定 查看更多

 

题目列表(包括答案和解析)

“若函数f(x)在区间(-1,0)和(0,1)上都单调递增,则函数f(x)在区间(-1,1)上单调递增”的一个反例是(  )

查看答案和解析>>

“若函数f(x)在区间(-1,0)和(0,1)上都单调递增,则函数f(x)在区间(-1,1)上单调递增”的一个反例是( )
A.f(x)=x2
B.f(x)=-x2
C.
D.

查看答案和解析>>

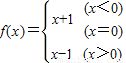
“若函数f(x)在区间(-1,0)和(0,1)上都单调递增,则函数f(x)在区间(-1,1)上单调递增”的一个反例是(  )
A.f(x)=x2B.f(x)=-x2
C.f(x)=
x+1
0
(x<0)
(x=0)
x-1(x>0)
D.f(x)=
x-1
0
(x<0)
(x=0)
x+1(x>0)

查看答案和解析>>

已知函数f(x)=2x2+ax,g(x)=lnx,F(x)=f(x)+g(x).
(Ⅰ)若F(x)在x=1处取得极小值,求F(x)的极大值;
(Ⅱ)若F(x)在区间上是增函数,求实数a的取值范围;
(Ⅲ)若a=3,问是否存在与曲线y=f(x)和y=g(x)都相切的直线?若存在,判断有几条?并加以证明,若不存在,说明理由.

查看答案和解析>>

已知函数f(x)=2x2+ax,g(x)=lnx,F(x)=f(x)+g(x).
(Ⅰ)若F(x)在x=1处取得极小值,求F(x)的极大值;
(Ⅱ)若F(x)在区间上是增函数,求实数a的取值范围;
(Ⅲ)若a=3,问是否存在与曲线y=f(x)和y=g(x)都相切的直线?若存在,判断有几条?并加以证明,若不存在,说明理由.

查看答案和解析>>


同步练习册答案