两个等差数列和,其前项和分别为.且则等于 ( ) A. B. C. D. 查看更多

 

题目列表(包括答案和解析)

两个等差数列,其前项和分别为,且等于 

(     )

 A.            B.              C.              D.  

查看答案和解析>>

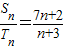
两个等差数列{an}和{bn},其前n项和分别为Sn,Tn,且
Sn
Tn
=
7n+2
n+3
,则
a2+a20
b7+b15
等于(  )
A、
9
4
B、
37
8
C、
79
14
D、
149
24

查看答案和解析>>

两个等差数列{an}和{bn},其前n项和分别为Sn,Tn,且
Sn
Tn
=
7n+2
n+3
,则
a2+a20
b7+b15
等于(  )
A.
9
4
B.
37
8
C.
79
14
D.
149
24

查看答案和解析>>

两个等差数列{an}和{bn},其前n项和分别为Sn,Tn,且
Sn
Tn
=
7n+2
n+3
,则
a2+a20
b7+b15
等于(  )
A.
9
4
B.
37
8
C.
79
14
D.
149
24

查看答案和解析>>

两个等差数列{an}和{bn},其前n项和分别为Sn,Tn,且,则等于( )
A.
B.
C.
D.

查看答案和解析>>


同步练习册答案