给出下列四种说法: ⑴ 函数与函数的定义域相同, ⑵ 函数的值域相同, ⑶ 函数均是奇函数, ⑷ 函数上都是增函数. 其中正确说法的序号是 . 查看更多

 

题目列表(包括答案和解析)

给出下列四种说法:

①函数与函数的定义域相同;

②函数的值域相同;

③函数均是奇函数;

④函数上都是增函数.

其中正确说法的序号是      

查看答案和解析>>

 给出下列四种说法:

 ①函数)与函数)的定义域相同;

②函数的值域相同;

③函数都是奇函数;

④函数在区间[0,+]上都是增函数.

其中正确的序号是_________    ____(把你认为正确叙述的序号都填上).

 

查看答案和解析>>

给出下列四种说法:
①函数y=ax(a>0且a≠1)与函数y=logaax(a>0且a≠1)的定义域相同;
②函数y=x3与y=3x的值域相同;
③函数y=
1
2
+
1
2x-1
与y=
(1+2x)2
x•2x
都是奇函数;
④函数y=(x-1)2与y=2x-1在区间[0,+∞)上都是增函数.
其中正确的序号是
 
(把你认为正确叙述的序号都填上).

查看答案和解析>>

给出下列四种说法:
①函数y=ax(a>0且a≠1)与函数y=logaax(a>0且a≠1)的定义域相同;
②函数y=x3与y=3x的值域相同;
③函数y=
1
2
+
1
2x-1
与y=
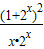
(1+2x)2
x•2x
都是奇函数;
④函数y=(x-1)2与y=2x-1在区间[0,+∞)上都是增函数.
其中正确的序号是______(把你认为正确叙述的序号都填上).

查看答案和解析>>

给出下列四种说法:
①函数y=ax(a>0且a≠1)与函数y=logaax(a>0且a≠1)的定义域相同;
②函数y=x3与y=3x的值域相同;
③函数y=+与y=都是奇函数;
④函数y=(x-1)2与y=2x-1在区间[0,+∞)上都是增函数.
其中正确的序号是    (把你认为正确叙述的序号都填上).

查看答案和解析>>


同步练习册答案