下列各组函数中.表示同一个函数的是 ( ) A.和 B.和 C. 和 D.和 查看更多

 

题目列表(包括答案和解析)

下列各组函数中,表示同一个函数的是(  )
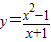
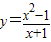
①y=x-1和y=
x2-1
x+1
          
②f(x)=x2和g(x)=(x+1)2
③y=x0和y=1              
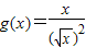
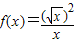
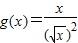
④f(x)=
(
x
)2
x
和g(x)=
x
(
x
)2

查看答案和解析>>

下列各组函数中,表示同一个函数的是(  )
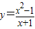
A.y=x-1和y=
x2-1
x+1
B.y=x0和y=1
C.f(x)=x2和g(x)=(x+1)2D.f(x)=
(
x
)
2
x
g(x)=
x
(
x
)
2

查看答案和解析>>

下列各组函数中,表示同一个函数的是( )
A.y=x-1和
B.y=x和y=1
C.f(x)=x2和g(x)=(x+1)2
D.

查看答案和解析>>

下列各组函数中,表示同一个函数的是( )
A.y=x-1和
B.y=x和y=1
C.f(x)=x2和g(x)=(x+1)2
D.

查看答案和解析>>

下列各组函数中,表示同一个函数的是( )
A.y=x-1和
B.y=x和y=1
C.f(x)=x2和g(x)=(x+1)2
D.

查看答案和解析>>


同步练习册答案