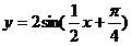
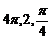
3.函数的周期.振幅.初相分别是( ) A. B. C. D. 查看更多

 

题目列表(包括答案和解析)

函数数学公式的周期,振幅,初相分别是


  1. A.
    数学公式
  2. B.
    数学公式
  3. C.
    数学公式
  4. D.
    数学公式

查看答案和解析>>

函数的周期,振幅,初相分别是
[     ]
A.      
B.      
C.      
D.

查看答案和解析>>

函数的周期,振幅,初相分别是( )
A.
B.
C.
D.

查看答案和解析>>

函数的周期,振幅,初相分别是( )
A.
B.
C.
D.

查看答案和解析>>

函数的周期,振幅,初相分别是( )
A.
B.
C.
D.

查看答案和解析>>


同步练习册答案