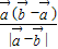
6.在△OAB中 ...OD是AB边上的高.若.则实数a = A. B. C. D. 查看更多

 

题目列表(包括答案和解析)

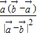
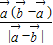
在△OAB中,,OD是AB边上的高,若则λ等于( )
A.
B.
C.
D.

查看答案和解析>>

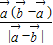
在△OAB中,,OD是AB边上的高,若则λ等于( )
A.
B.
C.
D.

查看答案和解析>>

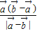
在△OAB中,,OD是AB边上的高,若则λ等于( )
A.
B.
C.
D.

查看答案和解析>>

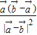
在△OAB中,,OD是AB边上的高,若则λ等于( )
A.
B.
C.
D.

查看答案和解析>>

在△OAB中,,OD是AB边上的高,若则λ等于( )
A.
B.
C.
D.

查看答案和解析>>


同步练习册答案