10.给出函数 ▲ . 查看更多

 

题目列表(包括答案和解析)

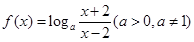
给出函数

求函数的定义域;

判断函数的奇偶性;

 

查看答案和解析>>

给出函数
求函数的定义域;
判断函数的奇偶性;

查看答案和解析>>

给出函数
求函数的定义域;
判断函数的奇偶性;

查看答案和解析>>

给出函数数学公式
(1)求函数的定义域;
(2)判断函数的奇偶性.

查看答案和解析>>

给出函数
(1)求函数的定义域;
(2)判断函数的奇偶性.

查看答案和解析>>


同步练习册答案