10.给出如图所示的伪代码.根据该算法.可求得 = ▲ . 查看更多

 

题目列表(包括答案和解析)

已知数列,计算数列的第20项.现已给出该问题算法的流程图(如图所示).

(Ⅰ)请在图中判断框中的(A)与执行框中的(B)处填

上合适的语句,使之能完成该题的算法功能.

(Ⅱ) 根据流程图写出伪代码.

查看答案和解析>>

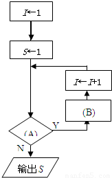
已知数列{an},a1=1,an+1=an+2n,计算数列{an}的第20项.现已给出该问题算法的流程图(如图所示).
(Ⅰ)请在图中判断框中的(A)与执行框中的(B)处填上合适的语句,使之能完成该题的算法功能.
(Ⅱ) 根据流程图写出伪代码.

查看答案和解析>>

已知数列{an},a1=1,an+1=an+2n,计算数列{an}的第20项.现已给出该问题算法的流程图(如图所示).
(Ⅰ)请在图中判断框中的(A)与执行框中的(B)处填上合适的语句,使之能完成该题的算法功能.
(Ⅱ) 根据流程图写出伪代码.

查看答案和解析>>

已知数列{an},a1=1,an+1=an+2n,计算数列{an}的前20项和.现已给出该问题算法的程序框图(如图所示).
(1)请在图中判断框中的(A)与执行框中的(B)处填上合适的语句,使之能完成该题的算法功能.
(2)根据程序框图写出伪代码.

查看答案和解析>>

已知数列{an},a1=1,an+1=an+2n,计算数列{an}的前20项和.现已给出该问题算法的程序框图(如图所示).
(1)请在图中判断框中的(A)与执行框中的(B)处填上合适的语句,使之能完成该题的算法功能.
(2)根据程序框图写出伪代码.

查看答案和解析>>


同步练习册答案