9.若函数是奇函数.则m为 查看更多

 

题目列表(包括答案和解析)

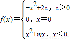
若函数是奇函数,则实数m为   

查看答案和解析>>

若函数数学公式是奇函数,则实数m为________.

查看答案和解析>>

是奇函数,则实数m的值为________.

查看答案和解析>>

若函数f(x)=1+
m
ex-1
是奇函数,则m的值为(  )

查看答案和解析>>

若函数f(x)=1+
max-1
是奇函数,则m为
2
2

查看答案和解析>>


同步练习册答案