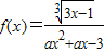
函数的定义域为R,则实数a的取值范围是______ 查看更多

 

题目列表(包括答案和解析)

已知函数的定义域为R 则实数a的取值范围是   

查看答案和解析>>

已知函数的定义域为R 则实数a的取值范围是   

查看答案和解析>>

已知函数数学公式的定义域为R 则实数a的取值范围是________.

查看答案和解析>>

已知数学公式
(1)若函数的定义域为R则实数a的取值范围是________.
(2)若函数的值域为R则实数a的取值范围是________.
(3)若函数在(-∞,1]上有意义则实数a的取值范围是________.
(4)若函数的值域为(-∞,1)则实数a的取值范围是________.

查看答案和解析>>

已知
(1)若函数的定义域为R则实数a的取值范围是   
(2)若函数的值域为R则实数a的取值范围是   
(3)若函数在(-∞,1]上有意义则实数a的取值范围是   
(4)若函数的值域为(-∞,1)则实数a的取值范围是   

查看答案和解析>>


同步练习册答案