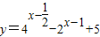
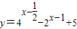
16.设.求函数的最大值和最小值. 查看更多

 

题目列表(包括答案和解析)

设0≤x≤2,求函数数学公式的最大值和最小值.

查看答案和解析>>

设0≤x≤2,求函数的最大值和最小值.

查看答案和解析>>

设0≤x≤2,求函数的最大值和最小值.

查看答案和解析>>

设0≤x≤2,求函数的最大值和最小值.

查看答案和解析>>

0x2,求函数的最大值和最小值.

查看答案和解析>>


同步练习册答案