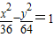
2.与曲线共焦点.而与曲线共渐近线的双曲线方程为 ( ) A. B. C. D. 查看更多

 

题目列表(包括答案和解析)

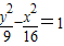
与曲线共焦点,而与曲线共渐近线的双曲线方程为(   )

A.   B.    C.    D.

 

查看答案和解析>>

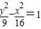
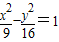
与曲线共焦点,而与曲线共渐近线的双曲线方程为(   )

A. B. C. D.

 

查看答案和解析>>

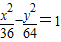
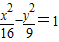
与曲线共焦点,而与曲线共渐近线的双曲线方程为

A.          B.    C.  D. 

 

查看答案和解析>>

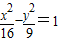
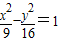
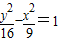
与曲线共焦点,而与双曲线共渐近线的双曲线方程为( )
A.
B.
C.
D.

查看答案和解析>>

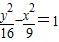
与曲线共焦点,而与双曲线共渐近线的双曲线方程为( )
A.
B.
C.
D.

查看答案和解析>>


同步练习册答案