已知=3,求的值. 解:∵=3, ∴()2=9. ∴x+2+x-1=9, 即x+x-1=7. ∴(x+x-1)2=49. ∴x2+2+x-2=49, 即x2+x-2=47. ∴. 查看更多

 

题目列表(包括答案和解析)

已知函数y=f(x)是定义在R上的周期函数,周期T=5,又函数y=f(x)在区间[-1,1]上是奇函数,又知y=f(x) 在区间[0,1]上的图象是线段、在区间[1,4]上的图象是一个二次函数图象的一部分,且在x=2时,函数取得最小值-5.求:
(1)f(1)+f(4)的值;
(2)y=f(x)在x∈[1,4]上的函数解析式;
(3)y=f(x)在x∈[4,9]上的函数解析式.

查看答案和解析>>

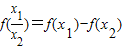
已知定义在区间(0,+∞)上的函数f(x)满足:对?x1,x2∈(0,+∞)恒有数学公式,且当x>1时,f(x)<0.
(1)求f(1)的值;
(2)证明:函数f(x)在区间(0,+∞)上为单调递减函数;
(3)若f(3)=-1,
(ⅰ)求f(9)的值;(ⅱ)解不等式:f(3x)<-2.

查看答案和解析>>

已知函数y=f(x)是定义在R上的周期函数,周期T=5,又函数y=f(x)在区间[-1,1]上是奇函数,又知y=f(x) 在区间[0,1]上的图象是线段、在区间[1,4]上的图象是一个二次函数图象的一部分,且在x=2时,函数取得最小值-5.求:
(1)f(1)+f(4)的值;
(2)y=f(x)在x∈[1,4]上的函数解析式;
(3)y=f(x)在x∈[4,9]上的函数解析式.

查看答案和解析>>

已知定义在区间(0,+∞)上的函数f(x)满足:对?x1,x2∈(0,+∞)恒有,且当x>1时,f(x)<0.
(1)求f(1)的值;
(2)证明:函数f(x)在区间(0,+∞)上为单调递减函数;
(3)若f(3)=-1,
(ⅰ)求f(9)的值;(ⅱ)解不等式:f(3x)<-2.

查看答案和解析>>

已知函数f(x)在定义域(0,+∞)上为增函数,且满足f(xy)=f(x)+f(y),f(3)=1.

(1)求f(9),f(27)的值;

(2)解不等式:f(x)+f(x-8)<2.

查看答案和解析>>


同步练习册答案