若函数在上是增函数.则m的取值范围是 . 查看更多

 

题目列表(包括答案和解析)

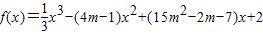
若函数在区间(2,+∞)上单调递增,则实数m的取值范围是   

查看答案和解析>>

若函数在R上是增函数,
则实数m的取值范围是   

查看答案和解析>>

若函数在区间(m,2m+1)上是单调递增函数,则实数m的取值范围是   

查看答案和解析>>

若函数在区间(m,2m+1)上是单调递增函数,则实数m的取值范围是   

查看答案和解析>>

若函数在区间(m,2m+1)上是单调递增函数,则实数m的取值范围是   

查看答案和解析>>


同步练习册答案