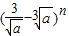
21.已知的展开式的各项系数之和等于展开式中的常数项.求 展开式中含的项的二项式系数. 查看更多

 

题目列表(包括答案和解析)

已知的展开式的各项系数之和等于展开式中的常数项,求展开式中含的项的二项式系数.

查看答案和解析>>

已知的展开式的各项系数之和等于展开式中的常数项,求展开式中含的项的二项式系数.

 

查看答案和解析>>

已知数学公式的展开式的各项系数之和等于数学公式展开式中的常数项,求数学公式展开式中含a-1的项的二项式系数.

查看答案和解析>>

已知的展开式的各项系数之和等于展开式中的常数项,求展开式中含a-1的项的二项式系数.

查看答案和解析>>

已知的展开式的各项系数之和等于展开式中的常数项,求展开式中含a-1的项的二项式系数.

查看答案和解析>>


同步练习册答案