的反函数为( ) A. B. C. D. 查看更多

 

题目列表(包括答案和解析)

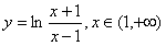
函数数学公式的反函数为


  1. A.
    数学公式
  2. B.
    数学公式
  3. C.
    数学公式
  4. D.
    数学公式

查看答案和解析>>

函数数学公式的反函数为


  1. A.
    数学公式
  2. B.
    数学公式
  3. C.
    数学公式
  4. D.
    数学公式

查看答案和解析>>

函数数学公式的反函数为


  1. A.
    数学公式
  2. B.
    数学公式
  3. C.
    数学公式
  4. D.
    数学公式

查看答案和解析>>

函数数学公式的反函数为


  1. A.
    数学公式
  2. B.
    数学公式
  3. C.
    数学公式
  4. D.
    数学公式

查看答案和解析>>

函数的反函数为

[     ]

A.
B.
C.
D.

查看答案和解析>>


同步练习册答案