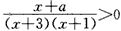
.则关于x的不等式的解集是 . 查看更多

 

题目列表(包括答案和解析)

关于x的不等式的解集是R,则实数a的取值范围是(    )。

查看答案和解析>>

若关于x的不等式的解集是(-3,-1)∪(2,+∞),则a的值为(    )。

查看答案和解析>>

若关于x的不等式的解集为空集,则实数a的取值范围是               

 

查看答案和解析>>

若关于x的不等式的解集为空集,则实数a的取值范围是               

查看答案和解析>>

若关于x的不等式的解集为空集,则实数a的取值范围是               

查看答案和解析>>


同步练习册答案