设...则a.b.c的大小关系是( ) (A)a<b<c (B)c<b<a (C)a<c<b (D)c<a<b 查看更多

 

题目列表(包括答案和解析)

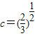
,则a,b,c的大小关系是( )
A.a<b<c
B.b<c<a
C.a<c<b
D.c<b<a

查看答案和解析>>

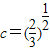
,则a,b,c的大小关系是( )
A.a<b<c
B.b<c<a
C.a<c<b
D.c<b<a

查看答案和解析>>

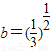
,则a,b,c的大小关系为( )
A.c<b<a
B.b<a<c
C.c<a<b
D.a<b<c

查看答案和解析>>

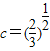
,则a,b,c的大小关系是( )
A.a<b<c
B.b<c<a
C.a<c<b
D.c<b<a

查看答案和解析>>

,则a,b,c的大小关系是   

查看答案和解析>>


同步练习册答案