若....则 (A) (B) (C) (D) 查看更多

 

题目列表(包括答案和解析)

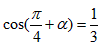
,则=

[     ]

A.
B.
C.
D.

查看答案和解析>>

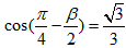
,则

[     ]

A.
B.
C.
D.

查看答案和解析>>

,且,则 ( )

A. B.

C. D.

 

查看答案和解析>>

,则

A.             B.           C.           D.

 

查看答案和解析>>

,则
A.B.C.D.

查看答案和解析>>


同步练习册答案