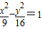
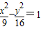
与双曲线有共同的焦点.且经过点的椭圆的标准方程为 . 查看更多

 

题目列表(包括答案和解析)

与双曲线有共同渐近线,且经过点(-3,)的双曲线的一个焦点到一条渐近线的距离为(    )

  A、8              B、4            C、2            D、1

 

查看答案和解析>>

与双曲线有共同渐近线,且经过点(-3,)的双曲线的一个焦点到一条渐近线的距离为(   )

A.8 B.4 C.2 D.1

查看答案和解析>>

与双曲线有共同渐近线,且经过点(-3,)的双曲线的一个焦点到一条渐近线的距离为(   )
A.8B.4C.2D.1

查看答案和解析>>

与双曲线有共同的渐近线,且经过点A(-3,)的双曲线的一个焦点到一条渐近线的距离是( )
A.8
B.4
C.2
D.1

查看答案和解析>>

与双曲线有共同的渐近线,且经过点A(-3,)的双曲线的一个焦点到一条渐近线的距离是( )
A.8
B.4
C.2
D.1

查看答案和解析>>


同步练习册答案