以椭圆的顶点为焦点.焦点为顶点的双曲线方程为 . 查看更多

 

题目列表(包括答案和解析)

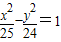
以椭圆的焦点为顶点、顶点为焦点的的双曲线方程是

A.       B.

C.      D.

 

查看答案和解析>>

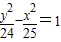
以椭圆的焦点为顶点、顶点为焦点的的双曲线方程是

A.B.
C.D.

查看答案和解析>>

以椭圆的焦点为顶点、顶点为焦点的双曲线方程是( )
A.
B.
C.
D.

查看答案和解析>>

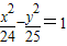
以椭圆的焦点为顶点、顶点为焦点的双曲线方程是( )
A.
B.
C.
D.

查看答案和解析>>

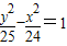
以椭圆的焦点为顶点、顶点为焦点的的双曲线方程是
A.B.
C.D.

查看答案和解析>>


同步练习册答案