7.能使的实数的取值范围是 ( ) A.(0.1) B. C. D. 查看更多

 

题目列表(包括答案和解析)

已知函数(a>0)
(1)证明:f(x)既不是奇函数又不是偶函数.
(2)求f(x)的值域.
(3)若对于f(x)定义域内的任意实数x1,都能构造出一个无穷数列{xn},
使其满足条件xn+1=f(xn)(n∈N*),求a的取值范围.

查看答案和解析>>

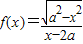
已知函数f(x)=
a2-x2
x-2a
(a>0)
(1)证明:f(x)既不是奇函数又不是偶函数.
(2)求f(x)的值域.
(3)若对于f(x)定义域内的任意实数x1,都能构造出一个无穷数列{xn},
使其满足条件xn+1=f(xn)(n∈N*),求a的取值范围.

查看答案和解析>>

已知集合A={x|x2-ax+a2-19=0},集合B={x|x2-5x+6=0},是否存在实数a,使得集合A,B能同时满足下列三个条件:①A≠B;②A∪B=B;③∅?(A∩B)?若存在,求出实数a的值或取值范围;若不存在,请说明理由.

查看答案和解析>>

已知集合A={x|x2-ax+a2-19=0},集合B={x|x2-5x+6=0},是否存在实数a,使得集合A,B能同时满足下列三个条件:①A≠B;②A∪B=B;③∅?(A∩B)?若存在,求出实数a的值或取值范围;若不存在,请说明理由.

查看答案和解析>>

已知集合A={x|x2-ax+a2-19=0},集合B={x|x2-5x+6=0},是否存在实数a,使得集合A,B能同时满足下列三个条件:①A≠B;②A∪B=B;③∅?(A∩B)?若存在,求出实数a的值或取值范围;若不存在,请说明理由.

查看答案和解析>>


同步练习册答案