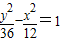
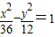
若双曲线与有相同的焦点.它的一条渐近线方程是.则双曲线的方程是( ) A. B. C. D. 查看更多

 

题目列表(包括答案和解析)

(本题满分8分)若双曲线与有相同的焦点,它的一条渐近线方程是,求双曲线的方程。

 

查看答案和解析>>

若双曲线与x2+4y2=64有相同的焦点,它的一条渐近线方程是x+
3
y=0
,则双曲线的方程是(  )

查看答案和解析>>

若双曲线与x2+4y2=64有相同的焦点,它的一条渐近线方程是,则双曲线的方程是( )
A.
B.
C.
D.

查看答案和解析>>

若双曲线与x2+4y2=64有相同的焦点,它的一条渐近线方程是数学公式,则双曲线的方程是


  1. A.
    数学公式
  2. B.
    数学公式
  3. C.
    数学公式
  4. D.
    数学公式

查看答案和解析>>

已知双曲线C1与抛物线C2:y2=8x有相同的焦点F,它们在第一象限内的交点为M,若双曲线C1的焦距为实轴长的2倍,则|MF|=________.

查看答案和解析>>


同步练习册答案