不论a为任何实数.直线y+3=0恒过定点( ) A. B.(-3,) C. 查看更多

 

题目列表(包括答案和解析)

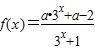
已知函数f(x)=
a•3x+a-23x+1
.(a∈R)
(1)是否存在实数a使函数f(x)为奇函数?证明你的结论;
(2)用单调性定义证明:不论a取任何实数,函数f(x)在其定义域上都是增函数;
(3)若函数f(x)为奇函数,解不等式f(3m2-m+1)+f(2m-3)<0.

查看答案和解析>>

已知函数.(a∈R)
(1)是否存在实数a使函数f(x)为奇函数?证明你的结论;
(2)用单调性定义证明:不论a取任何实数,函数f(x)在其定义域上都是增函数;
(3)若函数f(x)为奇函数,解不等式f(3m2-m+1)+f(2m-3)<0.

查看答案和解析>>

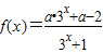
已知函数f(x)=
a•3x+a-2
3x+1
.(a∈R)
(1)是否存在实数a使函数f(x)为奇函数?证明你的结论;
(2)用单调性定义证明:不论a取任何实数,函数f(x)在其定义域上都是增函数;
(3)若函数f(x)为奇函数,解不等式f(3m2-m+1)+f(2m-3)<0.

查看答案和解析>>

已知函数.(a∈R)
(1)是否存在实数a使函数f(x)为奇函数?证明你的结论;
(2)用单调性定义证明:不论a取任何实数,函数f(x)在其定义域上都是增函数;
(3)若函数f(x)为奇函数,解不等式f(3m2-m+1)+f(2m-3)<0.

查看答案和解析>>

不论a, b为任何实数,直线(2a+b)x+(a+b)y+ab=0均通过一定点,此定点坐标是     

 

查看答案和解析>>


同步练习册答案