19.设F1.F2为椭圆的两个焦点.P为椭圆上的一点.已知P.F1.F2是一个直角三角形的三个顶点.且的值. 查看更多

 

题目列表(包括答案和解析)

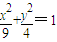
设F1,F2为椭圆数学公式的两个焦点,P为椭圆上的一点,已知P,F1,F2是一个直角三角形的三个顶点,且|PF1|>|PF2|,求数学公式的值.

查看答案和解析>>

设F1,F2为椭圆的两个焦点,P为椭圆上的一点,已知P,F1,F2是一个直角三角形的三个顶点,且|PF1|>|PF2|,求的值.

查看答案和解析>>

设F1,F2为椭圆的两个焦点,P为椭圆上的一点,已知P,F1,F2是一个直角三角形的三个顶点,且|PF1|>|PF2|,求的值.

查看答案和解析>>

设F1,F2为椭圆的两个焦点,P为椭圆上的一点,已知P,F1,F2是一个直角三角形的三个顶点,且|PF1|>|PF2|,求的值.

查看答案和解析>>

设F1,F2为椭圆的两个焦点,P在椭圆上,当△F1PF2面积为1时,则的值是( )
A.0
B.1
C.2
D.I

查看答案和解析>>


同步练习册答案