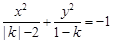
10.如果 表示焦点在 轴上的双曲线.那么它的半焦距 的取值范围是 A. B.(0.2) C. D.(1.2) 查看更多

 

题目列表(包括答案和解析)

如果表示焦点在轴上的双曲线,那么它的半焦距的取值范围是

(A)      (B)        (C)         (D)

 

查看答案和解析>>

如果表示焦点在轴上的双曲线,那么它的半焦距的取值范围是
A. B. C.  D.

查看答案和解析>>

如果表示焦点在轴上的双曲线,那么它的半焦距的取值范围是

(A)      (B)        (C)         (D)

查看答案和解析>>

如果表示焦点在轴上的双曲线,那么它的半焦距的取值范围是

A. B. C.  D.

查看答案和解析>>

如果表示焦点在y轴上的双曲线,那么它的半焦距C的取值范围是(  )

A.(1,+∞)                                  B.(0,2)

C.(2,+∞)                                  D.(1,2)

查看答案和解析>>


同步练习册答案