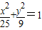
椭圆上一点P到一个焦点的距离为5.则P到另一个焦点的距离为( ) A.5 B.6 C.4 D.10 查看更多

 

题目列表(包括答案和解析)

椭圆上一点P到一个焦点的距离为5,则P到另一个焦点的距离为(  )

A.4                B.5                C.6                D.10

查看答案和解析>>

椭圆上一点P到一个焦点的距离为5,则P 到另一个焦点的距离为( )
A.4
B.5
C.6
D.10

查看答案和解析>>

椭圆上一点P到一个焦点的距离为5,则P 到另一个焦点的距离为( )
A.4
B.5
C.6
D.10

查看答案和解析>>

椭圆上一点P到一个焦点的距离为5,则P 到另一个焦点的距离为( )
A.4
B.5
C.6
D.10

查看答案和解析>>

椭圆上一点P到一个焦点的距离为5,则P 到另一个焦点的距离为( )
A.4
B.5
C.6
D.10

查看答案和解析>>


同步练习册答案