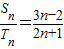
15.等差数列{an}与{bn}的前n项和分别为Sn.Sn’.且.则 . 查看更多

 

题目列表(包括答案和解析)

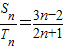
等差数列{an}与{bn}的前n项和分别为Sn与Tn,若
Sn
Tn
=
3n-2
2n+1
,则
a7
b7
=(  )

查看答案和解析>>

等差数列{an}与{bn}的前n项和分别为Sn与Tn,若,则=( )
A.
B.
C.
D.

查看答案和解析>>

等差数列{an}与{bn}的前n项和分别为Sn与Tn,若,则=( )
A.
B.
C.
D.

查看答案和解析>>

等差数列{an}与{bn}的前n项和分别为Sn与Tn,若数学公式,则数学公式=


  1. A.
    数学公式
  2. B.
    数学公式
  3. C.
    数学公式
  4. D.
    数学公式

查看答案和解析>>

等差数列{an}{bn}的前n项和分别为SnTn,若,则等于( )

A1                B              C              D

 

查看答案和解析>>


同步练习册答案