计算的值是 . 查看更多

 

题目列表(包括答案和解析)

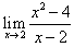
计算的值是_________。

 

查看答案和解析>>

计算的值是_________。

查看答案和解析>>

计算的值是_________。

查看答案和解析>>

计算的值是(    )。

查看答案和解析>>

 在计算机的算法语言中有一种函数叫做取整函数(也称高斯函数),它表示的整数部分,即[]是不超过的最大整数.例如:。设函数,则函数的值域为         (    )

    A.         B.   C.         D.

 

查看答案和解析>>


同步练习册答案