5.方程 表示的曲线是 A.圆 B.椭圆 C.双曲线 D.抛物线 查看更多

 

题目列表(包括答案和解析)

方程表示的曲线是

[    ]

A.直线         B.射线 

C.线段去掉一个端点   D.椭圆

查看答案和解析>>

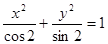
方程表示的曲线是                     (    )

    A.焦点在轴上的椭圆               B.焦点在轴上的双曲线

    C.焦点在y轴上的椭圆               D.焦点在y轴上的双曲线

查看答案和解析>>

方程表示的曲线是:

A.两条相交直线           B.两条平行直线         C.椭圆                       D.双曲线

查看答案和解析>>

方程表示的曲线是(   )

A.焦点在轴上的椭圆                    B.焦点在轴上的双曲线

C.焦点在轴上的椭圆                    D.焦点在轴上的双曲线

 

查看答案和解析>>

方程表示的曲线是(  )

A.焦点在轴上的椭圆B.焦点在轴上的双曲线
C.焦点在轴上的椭圆D.焦点在轴上的双曲线

查看答案和解析>>


同步练习册答案