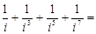
12.(为虚数单位)= 查看更多

 

题目列表(包括答案和解析)

为虚数单位的二项展开式中第七项为(      )

A.         B.              C.          D. 

查看答案和解析>>

为虚数单位,

A.0B.2C.D.4

查看答案和解析>>

为虚数单位,为虚数单位,若的值为若则的值为(   )

A.     B.        C.       D.

 

查看答案和解析>>

为虚数单位,则

A.          B.           C.          D.

 

查看答案和解析>>

为虚数单位,则= (  ).

A.       B.-1        C.        D.1

 

查看答案和解析>>


同步练习册答案