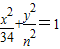
9.椭圆和双曲线有相同的焦点.则实数的值是 . 查看更多

 

题目列表(包括答案和解析)

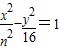
椭圆和双曲线有相同的焦点,则实数的值是 (    )

A.             B.              C.5                D.9

 

查看答案和解析>>

椭圆和双曲线有相同的焦点,则实数的值是

 

 

查看答案和解析>>

椭圆和双曲线有相同的焦点,则实数的值是 (    )

A. B. C.5 D.9

查看答案和解析>>

椭圆和双曲线有相同的焦点,则实数n的值是( )
A.±5
B.±3
C.5
D.9

查看答案和解析>>

椭圆和双曲线有相同的焦点,则实数的值是(  )
            B                C  5             D 9

查看答案和解析>>


同步练习册答案