22.设都是正数.求证. 查看更多

 

题目列表(包括答案和解析)

设{an}是正数组成的数列,其前n项和为Sn,并且对于所有的n∈N+,都有8Sn=(an+2)2
(1)写出数列{an}的前3项;
(2)求数列{an}的通项公式(写出推证过程);
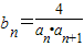
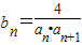
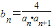
(3)设bn=
4
anan+1
,Tn是数列{bn}的前n项和,求使得Tn
m
20
对所有n∈N+都成立的最小正整数m的值.

查看答案和解析>>

设{an}是正数组成的数列,其前n项和为Sn,并且对于n∈N+,都有8Sn=(an+2)2

(1)写出数列{an}的前3项;

(2)求数列{an}的通项公式(写出推证过程);

(3)设bn,Tn是数列{bn}的前n项和,求使得Tn对所有n∈N+都成立的最小正整数m的值.

查看答案和解析>>

设{an}是正数组成的数列,其前n项和为Sn,并且对于所有的n∈N+,都有8Sn=(an+2)2
(1)写出数列{an}的前3项;
(2)求数列{an}的通项公式(写出推证过程);
(3)设,Tn是数列{bn}的前n项和,求使得对所有n∈N+都成立的最小正整数m的值.

查看答案和解析>>

设{an}是正数组成的数列,其前n项和为Sn,并且对于所有的n∈N+,都有8Sn=(an+2)2
(1)写出数列{an}的前3项;
(2)求数列{an}的通项公式(写出推证过程);
(3)设,Tn是数列{bn}的前n项和,求使得对所有n∈N+都成立的最小正整数m的值.

查看答案和解析>>

设{an}是正数组成的数列,其前n项和为Sn,并且对于所有的n∈N+,都有8Sn=(an+2)2
(1)写出数列{an}的前3项;
(2)求数列{an}的通项公式(写出推证过程);
(3)设,Tn是数列{bn}的前n项和,求使得对所有n∈N+都成立的最小正整数m的值.

查看答案和解析>>


同步练习册答案