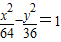
如果双曲线上一点P到它的右焦点的距离为8.那么点P到它的左准线的距离为( ) (A) (B) (C) (D) 查看更多

 

题目列表(包括答案和解析)

如果双曲线上一点P到它的右焦点的距离为8,那么P到它的右准线的距离是(  )

A.10                            B.             C.                 D.

查看答案和解析>>

如果双曲线上一点P到它的右焦点距离是8,那么点P到它的右准线的距离是(    )

 A 10          B        C         D

查看答案和解析>>

如果双曲线上一点P到它的右焦点距离是8,那么点P到它的左焦点的距离是( )    

A.4                B.12               C.4或12           D.不确定

 

查看答案和解析>>

如果双曲线上一点P到它的右焦点距离是8,那么点P到它的左焦点的距离是( )    

A.4 B.12 C.4或12 D.不确定

查看答案和解析>>

如果双曲线上一点P到它的右焦点的距离是8,那么P到它的左准线距离是( )
A.
B.
C.
D.

查看答案和解析>>


同步练习册答案