椭圆的焦点坐标为 A. B. C. D. 查看更多

 

题目列表(包括答案和解析)

椭圆的焦点坐标为 (    )

A.(±5,0)         B.(0,±5)      C. (0,)       D. (,0)

 

查看答案和解析>>

椭圆的焦点坐标为【    】

A、(-3,0) B、 

C、 D、

 

查看答案和解析>>

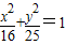
椭圆的焦点坐标为(   )

A.(0,5)和(0,—5)              B.(5,0)和(—5,0)

C.(0,)和(0,—)         D.(,0)和(—,0)

 

查看答案和解析>>

椭圆的焦点坐标为(    )

A. B. C. D.

查看答案和解析>>

椭圆的焦点坐标为( )
A.(0,3),(0,-3)
B.(3,0),(-3,0)
C.(0,5),(0,-5)
D.(4,0),(-4,0)

查看答案和解析>>


同步练习册答案