题目列表(包括答案和解析)

 0  121322  121330  121336  121340  121346  121348  121352  121358  121360  121366  121372  121376  121378  121382  121388  121390  121396  121400  121402  121406  121408  121412  121414  121416  121417  121418  121420  121421  121422  121424  121426  121430  121432  121436  121438  121442  121448  121450  121456  121460  121462  121466  121472  121478  121480  121486  121490  121492  121498  121502  121508  121516  447348 

29、本题16分

某化学课外兴趣小组为探究铜跟硫酸的反应情况,设计了下图所示装置进行有关实验:

(1)先关闭活塞a,将铜片和的浓硫酸放在圆底烧瓶中共热至反应完毕,发现烧瓶中还有铜片剩余。再打开活塞a,将气球中的氧气缓缓挤入圆底烧瓶,最后铜片完全消失。

①写出上述过程中烧瓶内发生的化学方程式:

打开活塞a之前               

打开活塞a之后               

②B是用来收集实验中产生的气体的装置,但集气瓶内的导管未画全,请直接在答题卷的图上把导管补充完整。

(2)实际上,在打开活塞a之前硫酸仍有剩余。为定量测定余酸的物质的量,甲、乙两学生进行了如下设计:

①甲学生设计方案是:先测定铜与浓硫酸反应产生的量,再通过计算确定余酸的物质的量。他测定的方法是将装置A产生的气体缓缓通过装置D,从而测出装置A产生气体的体积(已折算成标准状况)。你认为甲学生设计的实验方案能否准确求得余酸的物质的量

      (填“能”或“不能”),若不能,请在D装置的基础上进行改进,写出最简单的改进方法              

              (若能,此空不填)。

②乙学生设计的方案是:将反应后的溶液冷却后全部移入到烧杯中稀释,并按正确操作配制溶液,再取于锥形瓶中,用酚酞作指示剂,用标准氢氧化钠溶液进行滴定[已知:开始沉淀的PH约为5],再求出余酸的物质的量。你认为乙学生设计的实验方案能否准确求得余酸的物质的量     (填“能”或“不能”),理由是

                          

试题详情

28、本题17分

一种用于治疗高血脂的新药灭脂灵可按如下路线合成:

又知G的分子式为,试回答:

(1)反应①~⑤中属于取代反应的有      (填写编号)。

(2)写出B、E的结构简式:B         ,E       

(3)写出与I互为同分异构体,且既含有苯环又能发生银镜反应的物质的结构简式(写出两种即可)               

(4)反应②方程式为               

(5)反应⑤方程式为               

试题详情

27、本题13分

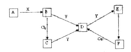
  已知A、B、C、D、E、F分别代表一种物质,且均含一种相同元素。其中,A是一种正盐,B是气态氢化物,F是强酸,当X无论是强酸还是强碱时,都有如下转化关系(其它产物及反应所需条件均已略去)

  (1)A的电子式是    

  (2)当X是强酸时,F是     ,写出此条件下B与在水溶液中反应的离子方程式               

  (3)当X是强碱时,F是    ,写出此条件下B与Y发生反应的化学方程式(注明反应条件)               

试题详情

26、本题14分

  A、B、C、D、E都是元素周期表中前20号元素,原子序数依次增大,B、C、D同周期,A、D同主族,E和其它元素既不在同周期也不在同主族,D的最高价氧化物的水化物为强酸,且B、C、D的最高价氧化物的水化物两两混合均能发生反应生成盐和水。

  根据以上信息,回答下列问题:

  (1)A和D氢化物中,沸点较低的是    (选填“A”或“D”);A和B的离子中,半径较小的是      (填离子符号)。

  (2)元素C在元素周期表中的位置是         

  (3)写出C的最高价氧化物的水化物分别与B、D的最高价氧化物的水化物反应的离子方程式                

  (4)右图表示由上述五种元素中的两种元素所形成的离子化合物的晶胞(晶胞是在晶体中具有代表性的最小重复单元)。阳离子(用“●”表示)位于该正方体的顶点和面心;阴离子(用“○”表示)均位于小正方体中心。

该化合物的化学式可能是         

试题详情

25、本题20分

  如图所示,两条互相平行的水平金属导轨MN和PQ放在竖直平面内,相距为L,左端接平行板电容器,板间距离为,右端接滑动变阻器R,水平方向的匀强磁场磁感应强度是B,垂直于导轨所在平面,导体棒CD跟导轨接触良好,棒电阻为,其他电阻及摩擦都不计。现用跟导轨平行的水平力F使棒从静止开始运动,已知,R的最大值为,求:

  (1)导体棒运动处于稳定状态时拉力的最大功率。

  (2)导体棒处于稳定状态时,当滑动触头恰处于滑动变阻器中点时,一个带电小球从平行板电容器左侧两板间正中央射入,小球在两板间恰好做匀速直线运动;当滑动触头处于变阻器最下端时该带电小球以同样的方式和速度入射,小球恰好做匀速圆周运动,则该圆周的半径多大?

试题详情

24、本题18分

  如图所示,光滑水平面上有一质量M=的小车,车的上表面右端是一段长L=的水平轨道,水平轨道左侧连一半径R=光滑圆弧轨道,圆弧轨道与水平轨道在B点相切。在车的右侧固定一个尺寸可以忽略、处于锁定状态的压缩弹簧,一质量的小物块紧靠弹簧,小物块与水平轨道间的动摩擦因数,整个装置处于静止状态,若将弹簧解除锁定,小物块被弹出,恰能到达圆环轨道的最高点A,取10。求

  (1)解除锁定前弹簧的弹性势能;

  (2)小车向左运动的最大速度;

  (3)小物块与车最终相对静止时距B点的距离。

试题详情

(I)图甲为用螺旋测微器、图乙为用游标尺上有50个等分刻度的游标卡尺测量物件的情况,请读出它们的读数分别为   mm、  

mm。

(II)某实验小组想较精确地测定一个自感系数很大的线圈L的直流电阻,实验室可提供下列器材

  A.待测线圈L(阻值约为5)

  B.电流表 (量程为0-0.6A,内阻约为0.5)

  C.电流表(量程为0-3A,内阻约为0.1)

  D.电压表(量程为0-3V,内阻约为6)

  E.电压表(量程为0-15V,内阻约为30)

  F.变阻器(阻值变化范围为0-10)

  G.变阻器(阻值变化范围为0-1)

  H.电池E(电动势约6V,内阻不计)

  I.电键两个,导线若干

  其中有两位同学分别设计了如图甲、乙所示的电路。

(1)为了使测量的数据较为准确,应该选用    图所示的电路进行测量,电流表应该选    ,电压表应该选    ,滑动变阻器应该选    (填甲、乙、A、B、C、…代号)

  (2)根据本实验电路测出的阻值    真实值(填“大于”、“等于”或“小于”)

  (3)根据选出的正确电路图,将下图中的实物连接成电路(导线尽量不交叉)

  (4)某同学实验时,其操作步骤如下:

   ①按选出的电路图和实验器材,连接好实验电路;

②合上电键,移动滑动变阻器的触头到适当位置,稳定后读出电流表A和电压表V的示数I和U;

③移动滑动变阻器触头到适当位置,每次稳定后再读出两组电流、电压数据;

④先断开电键,再断开电键,然后拆除实验装置,整理好实验器材,使其复原,上述实验操作过程中有一步不妥,请指出,并改正确。

                          

23、本题16分

登月宇航员离开在月球表面附近绕月匀速圆周运动的登月舱,降落在月球表面上。如果他从距月面高处以水平初速抛出一个小球,测得小球的水平射程为L,已知月球半径为R,万有引力恒量为G,求

(1)月球的质量;

(2)登月舱的周期。

试题详情

21、如图所示,为两个固定的正负点电荷,在它们的延长线上有三点,已知的中点且该处的场强为零。现有一正点电荷以一定初速度从点运动到点,则

  A.电荷两点的加速度大小一定相同

  B.电荷两点的加速度方向一定相反

  C.电荷两点间运动中的电势能先增大后减小

  D.电荷两点间运动中的电势能先减小后增大

试题详情

20、如图所示,A为一固定的导体圆环,条形磁铁B从左侧无穷远处沿圆环轴线移向圆环,穿过圆环后一直运动到右侧无穷远处,如果磁铁的移动是匀速的,则

  A.磁铁移动时受到圆环的斥力,离开时受到圆环的引力

  B.磁铁在整个运动过程中,圆环中的电流方向不变

  C.当磁铁的中心通过圆环面时,圆环中的电流为零

  D.磁铁在整个运动过程中,圆环中的电流先减小后增大

试题详情

19、一定质量的气体处于平衡态I。现设法使其温度降低而压强增大,达到平衡态II,则

A.状态I时气体的密度比状态II时气体的密度大

  B.状态I时分子的平均动能比状态II时分子的平均动能大

  C.从状态I到状态II过程中气体要对外放热

  D.从状态I到状态II过程中气体要对外做功

试题详情


同步练习册答案